What are you going to learn?
- What is the structure of DNA?
- What is Chargaff's rule?
- What does it mean that the DNA is complementary and antiparallel?
- What is denaturation?
- terms: nucleotide, polynucleotide, base, double helix, ssDNA, dsDNA, denaturation, renaturation, hybridization
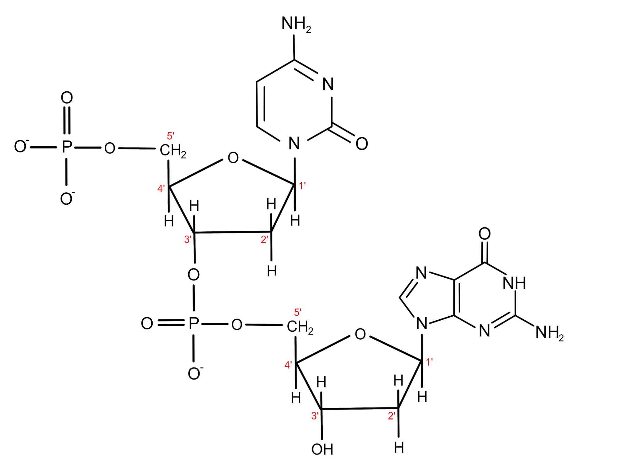
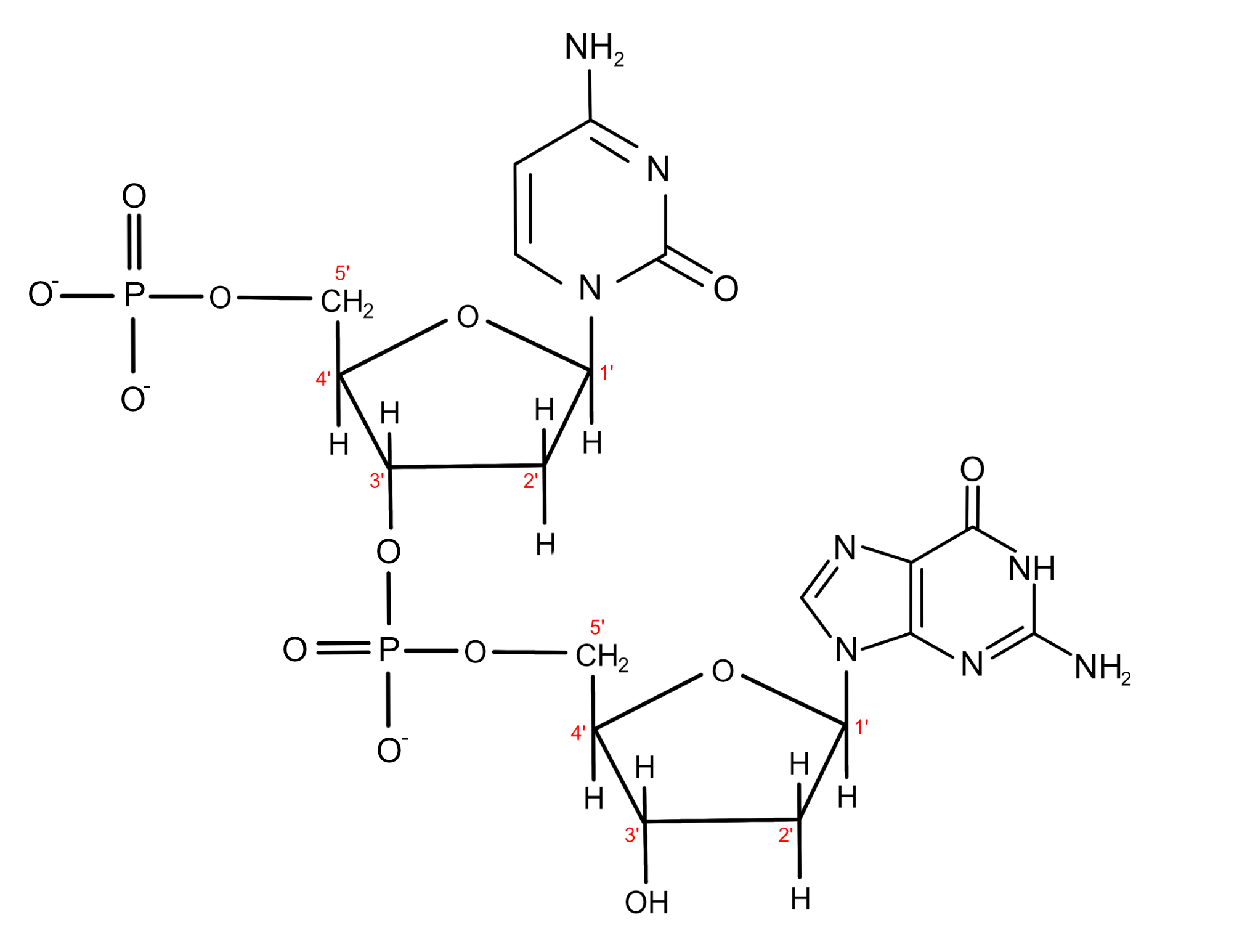
DNA (deoxyribonucleic acid) consists of 3 basic components:
1) a phosphate group,
2) a five-carbon sugar,
3) a cyclic nitrogen-containing compound called a base.

In DNA, the five-carbon sugar is 2-deoxyribose, hence the name deoxyribonucleic acid. 2-deoxyribose is, as we said, composed of 5 carbon atoms numbered 1' to 5'. The difference between deoxyribose and ribose is that ribose has an -OH group on its 2'-carbon, whereas deoxyribose only an H atom.

A phosphate group is attached on deoxyribose on its 3'- and 5'-carbon. A nitrogen-containing compound (a base) is attached on its 1'-carbon.
There are four different bases in DNA: adenine (A), guanine (G), thymine (T), and cytosine (C). Adenine and guanine are double-ring bases called purines. Cytosine and thymine are single-ring bases called pyrimidines.

These three components form together the basic DNA subunit - a nucleotide. Nucleotides are linked together and form a long chain. For that reason, we can say that DNA is a polynucleotide - a structure composed of several nucleotides.

As you probably know, Watson and Crick found out that DNA actually consists of two polynucleotide chains that form a double helix. This is possible because there are hydrogen bonds between bases of the opposite chains. However, there are some rules for this base-pairing as adenine is always paired with thymine, and guanine is always paired with cytosine. Because of this, the two chains of DNA are said to be complementary as each strand contains bases that pair together.

Adenine and thymine form two hydrogen bonds, whereas guanine and cytosine form three hydrogen bonds. This complementary base pairing also means that we have the same number of purines and pyrimidines in DNA. This is referred to as the Chargaff's rule.

These polynucleotide chains are also said to be antiparallel. This means that the phosphodiester bonds that join the adjacent nucleotides go from a 3'-carbon of one nucleotide to a 5'-carbon of the adjacent nucleotide in one chain, and from a 5'-carbon to 3'-carbon in the other chain. Simply said, the two chains run in a different direction.

DNA that has two chains is referred to as dsDNA (double-stranded DNA). DNA that has only one chain is referred to as ssDNA (single-stranded DNA). The two chains of DNA can be separated during a process called DNA denaturation, when we heat the DNA to temperatures around 90°C. By slowly decreasing the temperature, the two chains will come together, forming the double helix again. This is called DNA renaturation or hybridization.

References:
Alberts, B. (2014). Essential Cell Biology. Garland Science.
Cooper, G. M., & Hausman, R. E. (2007). The cell: A molecular approach. ASM.
Pollard, T. D., Earnshaw, W. C., Lippincott-Schwartz, J., & Johnson, G. T. (2017). Cell biology. Elsevier.
Snustad, D. P., & Simmons, M. J. (2012). Principles of Genetics. Wiley.